美国公司注册选择特拉华州?申请特拉华公司的优势?

特拉华州位于美国东海岸,纽约和华盛顿之间,就在费城以南。首府是多佛,而威尔明顿是该地区最大的城市,邮政缩写为DE。美国特拉华州是第一个加入美国的州,因此也被称为第一州。特拉华州在注册美国公司方面起着重要的作用。
一、注册特拉华州公司优势:
1.《特拉华州普通公司法》是美国最先进、最灵活的公司规定之一。《特拉华普通公司法》构成了特拉华州公司法的基础。特拉华州公司法具有可预见性和稳定性。这部法律是公司法专家制定的,不受特殊利益集团的影响。特拉华州立法机构每年都会审查特拉华州公司法,以确保其能够应对新出现的问题。
2.特拉华州公司法也是一部实在法。与许多国家详细的、指令性的“公司法”不同,特拉华州公司法为保护投资者提供了一些重要的强制性要求,但在其他方面为公司的业务运作提供了灵活性。特拉华州还通过应用特拉华州公司法的原则,为除公司之外的商业实体制定了主要的成文法。
3.特拉华州的法律非常成熟,甚至可以说是美国其他法院的标杆。他们被全世界的律师所熟知,有完善的扶持企业的政策,可以帮助企业很好的成长。注册美国公司更容易上市。
4.商业仲裁在美国是最有效率的。
5.地理位置和物流:特拉华州位于华盛顿和纽约之间的战略位置。
6.做生意的成本:在特拉华州做生意的成本明显低于许多邻近的州。
7.特拉华州州务卿:特拉华州务卿办公室下属的公司分部专门为公司及其顾问提供及时高效的服务。成立公司是特拉华州重要的收入来源,在特拉华州很受重视。公司的员工把自己当成服务企业的员工。公司的服务质量已获得ISO9001认证,达到国际质量标准。
8.在特拉华州注册,公司的主要业务活动和场所可以位于特拉华州以外。股东可以通过会议解释,不需要一定的时间,公司的文件和记录也可以放在特拉华州以外。而且公司股东的信息是隐藏的,没有必要在文件中披露。
二、成立特拉华公司的要求
1.公司名称规定:有限公司的名称以Corporation或Co .limited,Limited或简称LTD,Inc,Corp结尾.也可以这样结尾:协会、公司公司、有限责任公司、基金会基金会、基金基金、法人团体、学会/学院、协会学会、联合会/联盟、“企业联合体/财团”,有限责任公司只能以有限责任公司结尾,简称' LLC '。
2.注册股本:特拉华州公司的注册股本一般为1500股,无面值。如果股数增加,政府收费会有变化。
3.董事:有限公司至少要有一个董事,有限公司的董事必须是自然人。
4.股东:至少一个,可以是自然人,也可以是任何国籍的法人团体。
5.高级职员:有限公司必须任命高级职员。有限公司的高级职员必须是自然人,一名董事可以同时担任所有高级职务;
6.注册代理人/注册地址:有限公司的注册地址和注册代理人必须位于特拉华州。
三、注册特拉华公司注册代理公司提供的服务
1.免费提供公司注册和名称查询服务。
2.提供特拉华公司的发起人
3.提供公司的注册代理人
4.提供注册地址
5.公司年度回顾
6.公司变更
7.公司文件的公证和认证
8.协助开立美国国内账户,四、注册公司全套文件及物品
1.美国公司注册证书
2.公司章程
3.第一次董事会会议记录
4.董事委任书
5.担任董事或股东的同意书
6.董事登记册和股东登记册
7.一个签名章和一个金属印章。
8.股票
1个文件夹(存放上述所有文件和物品)
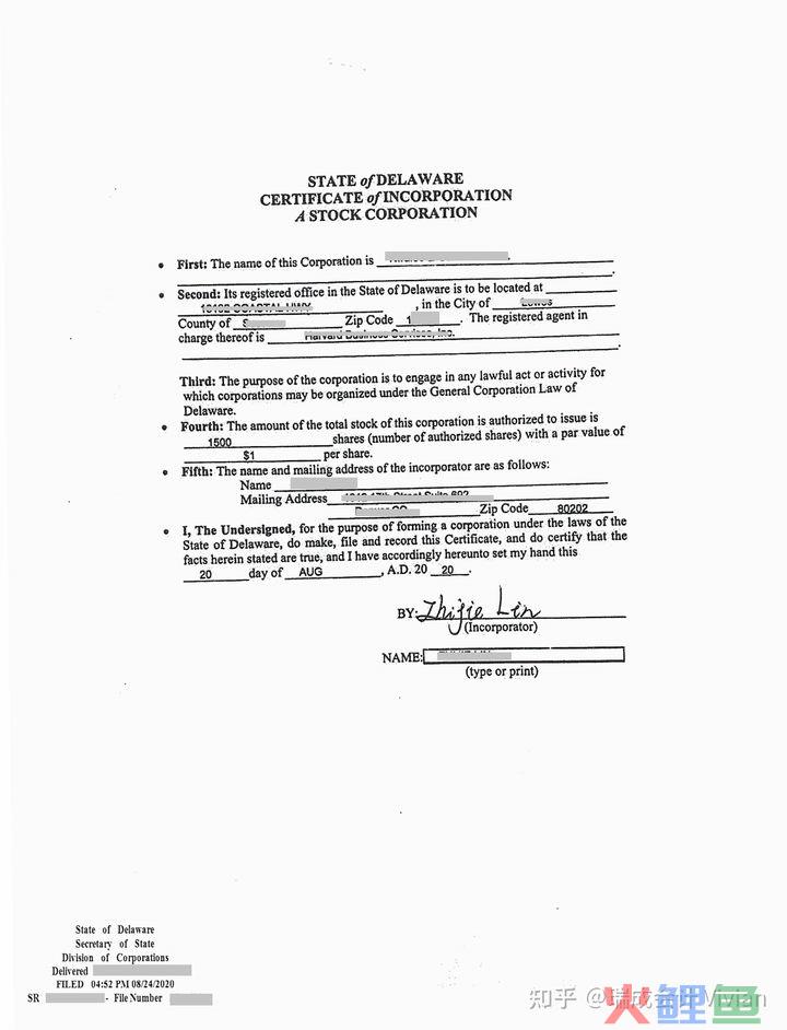
特拉华公司注册证书样本:
