实验调查法的应用形式

实验调查法的应用范围很广,如改变商品包装、改变产品价格、改进商品陈列以及进行新产品试验等,均可以用到实验法。其应用形式主要有如下三种。
(一)无控制组的事前事后对比实验
这是最简单的一种实验调查法,它是在没有控制组作参照的情况下,考察实验组在改变实验因素前后发生的变化,从而来测定实验因素对调查对象影响的实验效果,因此,它是一种纵向对比,即在前后时间上的比较,如表所示。
在具体介绍之前,先了解几个相关概念。
(1)实验组。即接受实验的被研究对象,或改变了实验因素的调查对象。
(2)控制组,又称对照组,即非实验对象,往往与实验组进行对比实验调查。
(3)事前测定值。改变实验因素前的变量值。
(4)事后测定值。改变实验因素后的变量值。
在表中没有控制组,只有实验组的事前实验和事后实验所产生的事前实验测定值X1及事后实验测定值X2。
其实验效果可用两种指标来表示,即绝对指标和相对指标。
绝对指标即绝对实验效果。
E = X2 − Xl
相对指标即相对实验效果。
无控制组的事前事后对比实验是一种纵向比较,操作起来简便易行,表面上看比较科学,但事实上其实验误差较大,因为它无法消除事前事后实验期间其他非实验因素的影响,因为在进行事前实验和事后实验期间其他非实验因素会发生改变,这样实验组的事后测定值就不纯粹是实验因素改变的结果,还有非实验因素,如自然因素、商业因素、心理因素等改变的结果,这些都会影响实验效果的准确性。
(二)有控制组的事后实验有控制组的事后实验是指在同一时期内,对实验组改变其实验因素进行实验,对控制组则不改变任何实验因素,照常规活动,将实验组和控制组的事后测定值进行对比,因此,这是一种横向比较,即在同一时间上的不同比较,如表所示。
在表中,没有事前实验的测定值,只有实验组和控制组的事后实验测定值,其实验效果也有两种指标。
绝对指标即绝对实验效果。
E = X2 − Y2
相对指标即相对实验效果。
这种有控制组的事后实验最明显的优点是:克服了前面的无控制组的事前事后实验所存在的非实验因素影响。由于这是一种横向对比实验,在同时间里.诸如自然因素、商业因素、心理因素等非实验因素基本相同,在实验对比中可以抵消。这种实验法的缺点是:选择控制组难度较大,实验效果的准确性直接取决于控制组与实验组的可比性,两者之间客观条件越接近,实验效果的准确性越高;反之,实验效果的准确性就越低。
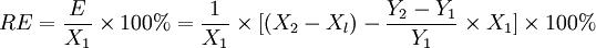
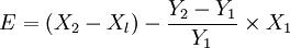
(三)有控制组的事前事后对比实验有控制组的事前事后对比实验是指在实验中,分别设立控制组和实验组,在实验组中引入实验因素,控制组中不引入实验因素,按常规活动,然后将实验组事前事后实验的测定值同控制组的事前事后实验测定值进行对比的实验调查方法。因此,它既有纵向对比,又有横向对比,如表所示。
从表中可看出,有控制组的事前事后对比实验综合了前两种实验法。
实验组事前事后对比,其绝对变化量为X2 − Xl,在这个变化量中,包括实验因素对经济变量的影响,也包括其他非实验因素对经济变量的影响。
控制组事前事后对比,其绝对变化量是Y2 − Y1,由于在控制组中不引入实验因素,因此,在绝对变化量Y2 − Y1中就没有实验因素对经济变量的影响,而只受到非实验因素的影响。控制组经济变量的相对变化量为
,也就是表示非实验因素对控制组每单位经济变量的影响程度,由于实验组和控制组中是同一经济变量,且处于同一环境中,因此,在实验组中非实验因素对每单位经济变量的影响程度也等于垦专旦,则非实验因素对实验组产生的绝对变化量为
。
因此,实验因素对实验组产生的绝对实验效果为
相对实验效果为
