模糊控制理论案例分析

案例一:模糊控制理论在经济预测中的运用
一、前言
1965年美国控制论专家Zadeh教授创立了模糊集理论,为描述和研究模糊现象提供了有力的数学工具。1974年英国自动控制专家E.H.Mamdani教授成功地将模糊语言逻辑运用于工业过程,标志着模糊控制的诞生。近40年来,模糊控制理论取得了很大的发展,在众多领域得到了广泛的应用。
在经济领域,经济计量学中是根据经济学和统计学理论,利用给定的数据建立模型,用于经济预测、策略评估等。所谓预测就是利用样本数据和样本估计模型来估计系统未来时刻的预测值。到目前为止,经济计量学中几乎所有的预测模型都把经济现象视为一种随机现象,根据统计学理论为之建立预测模型。然而许多经济现象不仅仅具有随机性,同时也具有模糊性。例如,当我们说某商品的质量好时,术语“好”就是一个模糊概念。对这类经济现象,如果仅考虑其随机性而忽略其模糊性,显然所建立的模型预测效果不会太理想。另外,有些经济现象中的有关因素不一定存在统计关系,这样就很难对它们建立统计模型。有时为了得到较高的模拟效果,常常增加外生变量的数目来建立多变量模型,这样不但增加了计算量,而且积累了误差。然而将某些因素适当地进行模糊化处理就可提高预测精度。
针对以上几个问题,本文提出建立模糊控制模型来进行经济预测。主要思想是:在影响内生变量的众多因素中,突出主要因素,把外生变量和内生变量之间的关系看作模糊关系,运用模糊控制的基本理论和方法建立模型。
二、模糊控制系统在经济领域的应用
模糊控制理论已成功地运用于众多领域,包括经济领域,这里将利用模糊控制理论来建立一个模糊控制模型,用它来对一类具有模糊性因素的经济现象进行经济预测。
根据统计分析方法中的主元素分析法,从与内生变量相关的众多因素中选取主要因素作为输入变量。建模步骤如下:步骤一:把输入输出空间划分为模糊空间建立模糊控制模型时,所有的输入输出变量都需要模糊化,用模糊集合来表示。如选一变量z,将其论域[a,b]等分为k个子区间,定义k+1个模糊集合,为计算简便起见,这里选三角形隶属度函数。
步骤二:建立模糊规则首先,根据给定的数据对生成模糊规则。具体做法为:对每组输入输出数据
确定
和y分别隶属于模糊集
和
的隶属度值,Ni和Ny分别表示根据步骤一在变量xi和y论域上定义的模糊集的数。选择使得
具有最大隶属度值的模糊集
,类似的选择
,则得模糊规则:如果x1为A1j且…且xn为
,则y为
。
(注:若由输入输出数据对生成冲突规则,即规则的“IF”部分相同而“THEN”部分不同,这时可为每条规则赋予一个强度,然后从冲突的规则群中选择强度最大的一条。)其次,在实践中,输入输出数据对比较少时,生成的规则也比较少,会导致模型达不到预期的精度。这时可以请该领域的专家根据他们的经验给出一些控制规则,这也是模糊控制的特点,即结合专家经验。
直观上,可以把一个模糊规则库描述成一个两维输入的表格,每一个空格对应着一条规则。这种建立模糊规则库的方法可以看作是用恰当的规则来填表格,故称其为查表法。
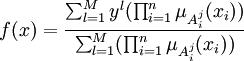
步骤三:构造模糊系统根据步骤二中生成的模糊规则库,选用带有单值模糊器、模糊规则库规则、乘积推理机和中心平均解模糊器的模糊系统,其模型为:
。
其中,
是外生变量,f(x)是内生变量。
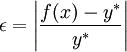
由模型公式(1)可见,输出f(x)是一个精确值,但在实际应用中不可能准确无误地预测一个值,必定带有误差。设真值为y,则可用相对误差
衡量预测的准确度。
三、实例分析
众所周知,商品的销售与商品的价格、广告促销费、信誉、品牌等众多因素有关。为了检测本文设计的模糊控制模型的效果,这里选择一种商品,其销售主要受广告促销费和信誉(其评定是模糊的)影响。数据调查如下:
2003年到2007年数据
年度20032004200520062007 广告促销费(百万美元)52985878638368297123 销售收入(百万美元)5769263941694977403779049 信誉一般较低较高一般较高 选广告促销费和信誉为输入变量,销售收入为输出变量。信誉已经是一个模糊变量,设B1={低},B2={较低},B3={一般},B4={较高},B5={高},将其定义在[1,5]上。分别将广告促销费和销售收入划分为7个模糊集
和
。三个变量均取如(13)的三角隶属度函数。
根据建模步骤中的第二步建立规则库,得模糊规则如下表:
表:模糊规则
A1A2A3A4A5A6A7 B1C1C1C1C1C2C2C3 B2C1C3C3C3C4C4C4 B3C2C3C3C5C5C5C6 B4C2C4C4C5C6C6C6 B5C3C4C5C6C6C7C7(注:表中黑体的规则是由数据对生成,其它来自专家经验)现已知2008年该商品的广告促销费为7789百万美元,信誉评价为高,则根据本文建立的模糊控制预测模型,应用Matlab编程计算2008年的销售收入为79998百万美元。经调查知2008年该商品真正收入为80853,相对误差为1.06%,易见预测结果比较好。
注:本文为了说明所设计模糊控制模型如何工作,为简便起见,所选实例考虑因素较少,在具体运用该模型进行经济预测时,可考虑更全面,多选几个相关因素作为输入变量,则预测结果将会更好。
应用模糊控制的基本理论和方法建立的模糊控制模型,与用经济学和统计学原理所建立的模型相比较,可以更简单方便地对一类具有模糊性相关因素的经济现象进行比较准确的预测。模糊控制充分考虑了专家的知识经验,对具有模糊因素的系统具有其它控制无法比拟的优越性。随着模糊控制理论的发展与完善,模糊控制在自然科学和工程实践中也将得到越来越广泛的应用。
