数值分配量表的具体形式
在对被调查者的态度测量中,分配的数值必须以10或100为固定值,也就是说,对几种商品的态度测量之和应为10或100。
1、每项总量10分(100分)
有ABCDE五种品牌,欲通过调查了解其在使用稳定性上的优劣,则:
请您对以下品牌就使用中各种功能的发挥正常程度给分,每种品牌最高分为10分。
A: B: C: D: E:
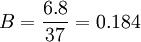
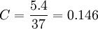
在统计时,将每个品牌的总得分除以被调查者人数得出平均得分,从平均得分值可比较出孰优,但若要比较优劣程度,需将每个品牌平均得分值除以∑各品牌平均得分值,得到相对比率,其相对比率即代表各品牌的优劣程度。如A品牌平均得分7.5分,B品牌6.8分,C品牌5.4分,D品牌8.4分,E品牌8.9分,则它们的相对得分为:





则E品牌较好。
2、固定总量10分(100分)
有ABCDE五种品牌,欲了解其在使用方便性上的优劣,则:
请您对以下品牌就使用的方便性给分,五种品牌合计总分为10。
A: B: C: D: E:
统计时,把各品牌的每人给分加起来即为该品牌得分,以最低得分的品牌为基数,所得到的系列比数即为量表值,表示品牌比最低牌的优异倍数。