巴斯扩散模型

巴斯扩散模型

巴斯扩散模型,火鲤鱼企服为你提供巴斯扩散模型相关企业信息,包含巴斯扩散模型相关问答、巴斯扩散模型相关文章、巴斯扩散模型介绍、巴斯扩散模型商家信息、巴斯扩散模型相关服务信息等企业所需综合内容服务。

共 4 讨论,7天新增4个讨论,30天新增4个讨论

 巴斯扩散模型的定义
  针对创新产品、技术的采用和扩散,美国管理心理学家弗兰克·巴斯(Frank M.Bass)提出的巴斯扩散模型(Bass Diffusion Model)及其扩展理论,常被用作市场分析工具,对新产品、新技术需求进行预测。作为诸多市场工具中的...
 巴斯扩散模型的参数
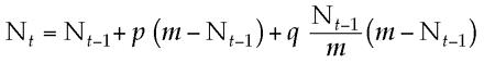
标准巴斯曲线图   巴斯扩散模型引入三个参量来预测Nt(消费者在第n期购买该产品的数量): m=市场潜力, 即潜在需求总数。 p=创新系数(外部影响),即尚未使用该产品的人,受到大众传媒或其他外部因素的影响,开始使用该产品的可能性。 q=...
  巴斯扩散模型简明易了,且足以适用于初次评估,初次评估的时候,往往没有必要运用那些复杂的市场模型。当然,需要注意的是,巴斯扩散模型仅仅是扩散技术模型中的一种,而且,巴斯扩散模型的许多变形业已被开发出来,用以满足某些特殊情形的精确需求。  ...
  巴斯模型给出的是购买者数量,而不是企业的产品销售量,但是销售量可以根据顾客的使用频率间接估计。巴斯模型的意义在于它提出市场动态变化的规律,为企业在不同时期对市场容量及其变化趋势做出科学有效的估计。   虽然巴斯模型在理论上比较完善,但...

1 人关注该话题

热门话题

抖音

短视频

知识产权

市场营销

攀枝花

火鲤鱼 © 2025 专注小微企业服务 冀ICP备09002609号-8